visOmopResults

R-CMD-check CRAN status Lifecycle:stable Codecov test coverage

Package overview

visOmopResults offers a set of functions tailored to format objects of class <summarised_result> (as defined in omopgenerics package).

It provides functionalities to create formatted tables and generate plots. These visualisations are highly versatile for reporting results through Shiny apps, RMarkdown, Quarto, and more, supporting various output formats such as HTML, PNG, Word, and PDF.

Let’s get started

You can install the latest version of visOmopResults from CRAN:

install.packages("visOmopResults")

Or you can install the development version from GitHub with:

# install.packages("pak")
pak::pkg_install("darwin-eu/visOmopResults")

The <summarised_result> is a standardised output format utilized across various packages, including:

Although this standard output format is essential, it can sometimes be challenging to manage. The visOmopResults package aims to simplify this process. To demonstrate the package’s functionality, let’s start by using some mock results:

library(visOmopResults)
result <- mockSummarisedResult()

Tables visualisations

Currently all table functionalities are built around 4 packages: tibble, gt, flextable, and datatable.

There are two main functions:

Let’s see a simple example:

result |>
  filterStrata(sex != "overall" & age_group != "overall") |>
  visOmopTable(
    type = "flextable",
    estimateName = c(
      "N(%)" = "<count> (<percentage>%)", 
      "N" = "<count>", 
      "mean (sd)" = "<mean> (<sd>)"),
    header = c("sex", "age_group"),
    settingsColumn = NULL,
    groupColumn = c("cohort_name"),
    rename = c("Variable" = "variable_name", " " = "variable_level"),
    hide = "cdm_name",
    style = "darwin"
  )

Plots visualisations

Currently all plot functionalities are built around ggplot2. The output of these plot functions is a <ggplot2> object that can be further customised.

There are three plotting functions:

Additionally, the themeVisOmop() function applies a consistent styling to the plots, aligning them with the package’s visual design.

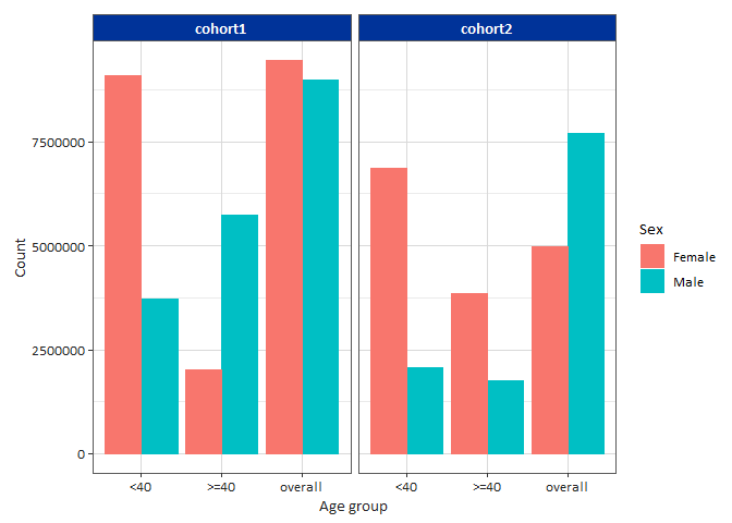
Let’s see how we can create a simple boxplot for age:

library(dplyr)
result |>
  filter(variable_name == "number subjects") |>
  filterStrata(sex != "overall") |>
  barPlot(
    x = "age_group", 
    y = "count",
    facet = "cohort_name", 
    colour = "sex",
    style = "darwin"
  )