{ggstatsplot}: {ggplot2} Based Plots with Statistical Details

Status Usage Miscellaneous
R build status Total downloads codecov
lifecycle Daily downloads DOI

Raison d’être

“What is to be sought in designs for the display of information is the clear portrayal of complexity. Not the complication of the simple; rather … the revelation of the complex.” - Edward R. Tufte

{ggstatsplot} is an extension of {ggplot2} package for creating graphics with details from statistical tests included in the information-rich plots themselves. In a typical exploratory data analysis workflow, data visualization and statistical modeling are two different phases: visualization informs modeling, and modeling in its turn can suggest a different visualization method, and so on and so forth. The central idea of {ggstatsplot} is simple: combine these two phases into one in the form of graphics with statistical details, which makes data exploration simpler and faster.

Installation

Type Command
Release install.packages("ggstatsplot")
Development pak::pak("IndrajeetPatil/ggstatsplot")

Citation

If you want to cite this package in a scientific journal or in any other context, run the following code in your R console:

citation("ggstatsplot")
To cite package 'ggstatsplot' in publications use:

  Patil, I. (2021). Visualizations with statistical details: The
  'ggstatsplot' approach. Journal of Open Source Software, 6(61), 3167,
  doi:10.21105/joss.03167

A BibTeX entry for LaTeX users is

  @Article{,
    doi = {10.21105/joss.03167},
    url = {https://doi.org/10.21105/joss.03167},
    year = {2021},
    publisher = {{The Open Journal}},
    volume = {6},
    number = {61},
    pages = {3167},
    author = {Indrajeet Patil},
    title = {{Visualizations with statistical details: The {'ggstatsplot'} approach}},
    journal = {{Journal of Open Source Software}},
  }

Acknowledgments

I would like to thank all the contributors to {ggstatsplot} who pointed out bugs or requested features I hadn’t considered. I would especially like to thank other package developers (especially Daniel Lüdecke, Dominique Makowski, Mattan S. Ben-Shachar, Brenton Wiernik, Patrick Mair, Salvatore Mangiafico, etc.) who have patiently and diligently answered my relentless questions and supported feature requests in their projects. I also want to thank Chuck Powell for his initial contributions to the package.

The hexsticker was generously designed by Sarah Otterstetter (Max Planck Institute for Human Development, Berlin). This package has also benefited from the larger #rstats community on Twitter, LinkedIn, and StackOverflow.

Thanks are also due to my postdoc advisers (Mina Cikara and Fiery Cushman at Harvard University; Iyad Rahwan at Max Planck Institute for Human Development) who patiently supported me spending hundreds (?) of hours working on this package rather than what I was paid to do. 😁

Documentation and Examples

To see the detailed documentation for each function in the stable CRAN version of the package, see:

Summary of available plots

Function Plot Description
ggbetweenstats() violin plots for comparisons between groups/conditions
ggwithinstats() violin plots for comparisons within groups/conditions
gghistostats() histograms for distribution about numeric variable
ggdotplotstats() dot plots/charts for distribution about labeled numeric variable
ggscatterstats() scatterplots for correlation between two variables
ggcorrmat() correlation matrices for correlations between multiple variables
ggpiestats() pie charts for categorical data
ggbarstats() bar charts for categorical data
ggcoefstats() dot-and-whisker plots for regression models and meta-analysis

In addition to these basic plots, {ggstatsplot} also provides grouped_ versions (see below) that makes it easy to repeat the same analysis for any grouping variable.

Summary of types of statistical analyses

The table below summarizes all the different types of analyses currently supported in this package-

Functions Description Parametric Non-parametric Robust Bayesian
ggbetweenstats() Between group/condition comparisons
ggwithinstats() Within group/condition comparisons
gghistostats(), ggdotplotstats() Distribution of a numeric variable
ggcorrmat Correlation matrix
ggscatterstats() Correlation between two variables
ggpiestats(), ggbarstats() Association between categorical variables
ggpiestats(), ggbarstats() Equal proportions for categorical variable levels
ggcoefstats() Regression model coefficients
ggcoefstats() Random-effects meta-analysis

Summary of Bayesian analysis

Analysis Hypothesis testing Estimation
(one/two-sample) t-test
one-way ANOVA
correlation
(one/two-way) contingency table
random-effects meta-analysis

Statistical reporting

For all statistical tests reported in the plots, the default template abides by the gold standard for statistical reporting. For example, here are results from Yuen’s test for trimmed means (robust t-test):

Summary of statistical tests and effect sizes

Statistical analysis is carried out by {statsExpressions} package, and thus a summary table of all the statistical tests currently supported across various functions can be found in article for that package: https://indrajeetpatil.github.io/statsExpressions/articles/stats_details.html

Primary functions

ggbetweenstats()

This function creates either a violin plot, a box plot, or a mix of two for between-group or between-condition comparisons with results from statistical tests in the subtitle. The simplest function call looks like this-

set.seed(123)

ggbetweenstats(
  data  = iris,
  x     = Species,
  y     = Sepal.Length,
  title = "Distribution of sepal length across Iris species"
)

Defaults return

✅ raw data + distributions
✅ descriptive statistics
✅ inferential statistics
✅ effect size + CIs
✅ pairwise comparisons
✅ Bayesian hypothesis-testing
✅ Bayesian estimation

A number of other arguments can be specified to make this plot even more informative or change some of the default options. Additionally, there is also a grouped_ variant of this function that makes it easy to repeat the same operation across a single grouping variable:

set.seed(123)

grouped_ggbetweenstats(
  data             = dplyr::filter(movies_long, genre %in% c("Action", "Comedy")),
  x                = mpaa,
  y                = length,
  grouping.var     = genre,
  ggsignif.args    = list(textsize = 4, tip_length = 0.01),
  p.adjust.method  = "bonferroni",
  palette          = "default_jama",
  package          = "ggsci",
  plotgrid.args    = list(nrow = 1),
  annotation.args  = list(title = "Differences in movie length by mpaa ratings for different genres")
)

Details about underlying functions used to create graphics and statistical tests carried out can be found in the function documentation: https://indrajeetpatil.github.io/ggstatsplot/reference/ggbetweenstats.html

For more, also read the following vignette: https://indrajeetpatil.github.io/ggstatsplot/articles/web_only/ggbetweenstats.html

ggwithinstats()

ggbetweenstats() function has an identical twin function ggwithinstats() for repeated measures designs that behaves in the same fashion with a few minor tweaks introduced to properly visualize the repeated measures design. As can be seen from an example below, the only difference between the plot structure is that now the group means are connected by paths to highlight the fact that these data are paired with each other.

set.seed(123)
library(WRS2) ## for data
library(afex) ## to run ANOVA

ggwithinstats(
  data    = WineTasting,
  x       = Wine,
  y       = Taste,
  title   = "Wine tasting"
)

Defaults return

✅ raw data + distributions
✅ descriptive statistics
✅ inferential statistics
✅ effect size + CIs
✅ pairwise comparisons
✅ Bayesian hypothesis-testing
✅ Bayesian estimation

As with the ggbetweenstats(), this function also has a grouped_ variant that makes repeating the same analysis across a single grouping variable quicker. We will see an example with only repeated measurements-

set.seed(123)

grouped_ggwithinstats(
  data            = dplyr::filter(bugs_long, region %in% c("Europe", "North America"), condition %in% c("LDLF", "LDHF")),
  x               = condition,
  y               = desire,
  type            = "np",
  xlab            = "Condition",
  ylab            = "Desire to kill an artrhopod",
  grouping.var    = region
)

Details about underlying functions used to create graphics and statistical tests carried out can be found in the function documentation: https://indrajeetpatil.github.io/ggstatsplot/reference/ggwithinstats.html

For more, also read the following vignette: https://indrajeetpatil.github.io/ggstatsplot/articles/web_only/ggwithinstats.html

gghistostats()

To visualize the distribution of a single variable and check if its mean is significantly different from a specified value with a one-sample test, gghistostats() can be used.

set.seed(123)

gghistostats(
  data       = ggplot2::msleep,
  x          = awake,
  title      = "Amount of time spent awake",
  test.value = 12,
  binwidth   = 1
)

Defaults return

✅ counts + proportion for bins
✅ descriptive statistics
✅ inferential statistics
✅ effect size + CIs
✅ Bayesian hypothesis-testing
✅ Bayesian estimation

There is also a grouped_ variant of this function that makes it easy to repeat the same operation across a single grouping variable:

set.seed(123)

grouped_gghistostats(
  data              = dplyr::filter(movies_long, genre %in% c("Action", "Comedy")),
  x                 = budget,
  test.value        = 50,
  type              = "nonparametric",
  xlab              = "Movies budget (in million US$)",
  grouping.var      = genre,
  ggtheme           = ggthemes::theme_tufte(),
  ## modify the defaults from `{ggstatsplot}` for each plot
  plotgrid.args     = list(nrow = 1),
  annotation.args   = list(title = "Movies budgets for different genres")
)

Details about underlying functions used to create graphics and statistical tests carried out can be found in the function documentation: https://indrajeetpatil.github.io/ggstatsplot/reference/gghistostats.html

For more, also read the following vignette: https://indrajeetpatil.github.io/ggstatsplot/articles/web_only/gghistostats.html

ggdotplotstats()

This function is similar to gghistostats(), but is intended to be used when the numeric variable also has a label.

set.seed(123)

ggdotplotstats(
  data       = dplyr::filter(gapminder::gapminder, continent == "Asia"),
  y          = country,
  x          = lifeExp,
  test.value = 55,
  type       = "robust",
  title      = "Distribution of life expectancy in Asian continent",
  xlab       = "Life expectancy"
)

Defaults return

✅descriptives (centrality measure + uncertainty + sample size)
✅ inferential statistics
✅ effect size + CIs
✅ Bayesian hypothesis-testing
✅ Bayesian estimation

As with the rest of the functions in this package, there is also a grouped_ variant of this function to facilitate looping the same operation for all levels of a single grouping variable.

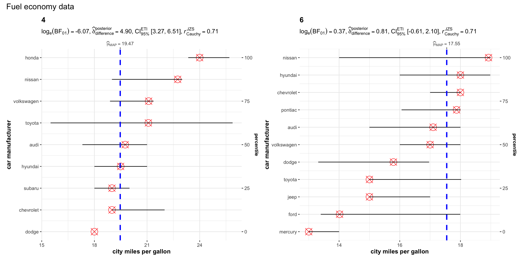
set.seed(123)

grouped_ggdotplotstats(
  data            = dplyr::filter(ggplot2::mpg, cyl %in% c("4", "6")),
  x               = cty,
  y               = manufacturer,
  type            = "bayes",
  xlab            = "city miles per gallon",
  ylab            = "car manufacturer",
  grouping.var    = cyl,
  test.value      = 15.5,
  point.args      = list(color = "red", size = 5, shape = 13),
  annotation.args = list(title = "Fuel economy data")
)

Details about underlying functions used to create graphics and statistical tests carried out can be found in the function documentation: https://indrajeetpatil.github.io/ggstatsplot/reference/ggdotplotstats.html

For more, also read the following vignette: https://indrajeetpatil.github.io/ggstatsplot/articles/web_only/ggdotplotstats.html

ggscatterstats()

This function creates a scatterplot with marginal distributions overlaid on the axes and results from statistical tests in the subtitle:

ggscatterstats(
  data  = ggplot2::msleep,
  x     = sleep_rem,
  y     = awake,
  xlab  = "REM sleep (in hours)",
  ylab  = "Amount of time spent awake (in hours)",
  title = "Understanding mammalian sleep"
)

Defaults return

✅ raw data + distributions
✅ marginal distributions
✅ inferential statistics
✅ effect size + CIs
✅ Bayesian hypothesis-testing
✅ Bayesian estimation

There is also a grouped_ variant of this function that makes it easy to repeat the same operation across a single grouping variable.

set.seed(123)

grouped_ggscatterstats(
  data             = dplyr::filter(movies_long, genre %in% c("Action", "Comedy")),
  x                = rating,
  y                = length,
  grouping.var     = genre,
  label.var        = title,
  label.expression = length > 200,
  xlab             = "IMDB rating",
  ggtheme          = ggplot2::theme_grey(),
  ggplot.component = list(ggplot2::scale_x_continuous(breaks = seq(2, 9, 1), limits = (c(2, 9)))),
  plotgrid.args    = list(nrow = 1),
  annotation.args  = list(title = "Relationship between movie length and IMDB ratings")
)

Details about underlying functions used to create graphics and statistical tests carried out can be found in the function documentation: https://indrajeetpatil.github.io/ggstatsplot/reference/ggscatterstats.html

For more, also read the following vignette: https://indrajeetpatil.github.io/ggstatsplot/articles/web_only/ggscatterstats.html

ggcorrmat

ggcorrmat makes a correlalogram (a matrix of correlation coefficients) with minimal amount of code. Just sticking to the defaults itself produces publication-ready correlation matrices. But, for the sake of exploring the available options, let’s change some of the defaults. For example, multiple aesthetics-related arguments can be modified to change the appearance of the correlation matrix.

set.seed(123)

## as a default this function outputs a correlation matrix plot
ggcorrmat(
  data     = ggplot2::msleep,
  colors   = c("#B2182B", "white", "#4D4D4D"),
  title    = "Correlalogram for mammals sleep dataset",
  subtitle = "sleep units: hours; weight units: kilograms"
)

Defaults return

✅ effect size + significance
✅ careful handling of NAs

If there are NAs present in the selected variables, the legend will display minimum, median, and maximum number of pairs used for correlation tests.

There is also a grouped_ variant of this function that makes it easy to repeat the same operation across a single grouping variable:

set.seed(123)

grouped_ggcorrmat(
  data         = dplyr::filter(movies_long, genre %in% c("Action", "Comedy")),
  type         = "robust",
  colors       = c("#cbac43", "white", "#550000"),
  grouping.var = genre,
  matrix.type  = "lower"
)

Details about underlying functions used to create graphics and statistical tests carried out can be found in the function documentation: https://indrajeetpatil.github.io/ggstatsplot/reference/ggcorrmat.html

For more, also read the following vignette: https://indrajeetpatil.github.io/ggstatsplot/articles/web_only/ggcorrmat.html

ggpiestats()

This function creates a pie chart for categorical or nominal variables with results from contingency table analysis (Pearson’s chi-squared test for between-subjects design and McNemar’s chi-squared test for within-subjects design) included in the subtitle of the plot. If only one categorical variable is entered, results from one-sample proportion test (i.e., a chi-squared goodness of fit test) will be displayed as a subtitle.

To study an interaction between two categorical variables:

set.seed(123)

ggpiestats(
  data         = mtcars,
  x            = am,
  y            = cyl,
  package      = "wesanderson",
  palette      = "Royal1",
  title        = "Dataset: Motor Trend Car Road Tests",
  legend.title = "Transmission"
)

Defaults return

✅ descriptives (frequency + %s)
✅ inferential statistics
✅ effect size + CIs
✅ Goodness-of-fit tests
✅ Bayesian hypothesis-testing
✅ Bayesian estimation

There is also a grouped_ variant of this function that makes it easy to repeat the same operation across a single grouping variable. Following example is a case where the theoretical question is about proportions for different levels of a single nominal variable:

set.seed(123)

grouped_ggpiestats(
  data         = mtcars,
  x            = cyl,
  grouping.var = am,
  label.repel  = TRUE,
  package      = "ggsci",
  palette      = "default_ucscgb"
)

Details about underlying functions used to create graphics and statistical tests carried out can be found in the function documentation: https://indrajeetpatil.github.io/ggstatsplot/reference/ggpiestats.html

For more, also read the following vignette: https://indrajeetpatil.github.io/ggstatsplot/articles/web_only/ggpiestats.html

ggbarstats()

In case you are not a fan of pie charts (for very good reasons), you can alternatively use ggbarstats() function which has a similar syntax.

N.B. The p-values from one-sample proportion test are displayed on top of each bar.

set.seed(123)
library(ggplot2)

ggbarstats(
  data             = movies_long,
  x                = mpaa,
  y                = genre,
  title            = "MPAA Ratings by Genre",
  xlab             = "movie genre",
  legend.title     = "MPAA rating",
  ggplot.component = list(ggplot2::scale_x_discrete(guide = ggplot2::guide_axis(n.dodge = 2))),
  palette          = "Set2"
)

Defaults return

✅ descriptives (frequency + %s)
✅ inferential statistics
✅ effect size + CIs
✅ Goodness-of-fit tests
✅ Bayesian hypothesis-testing
✅ Bayesian estimation

And, needless to say, there is also a grouped_ variant of this function-

## setup
set.seed(123)

grouped_ggbarstats(
  data         = mtcars,
  x            = am,
  y            = cyl,
  grouping.var = vs,
  package      = "wesanderson",
  palette      = "Darjeeling2" # ,
  # ggtheme      = ggthemes::theme_tufte(base_size = 12)
)

Details about underlying functions used to create graphics and statistical tests carried out can be found in the function documentation: https://indrajeetpatil.github.io/ggstatsplot/reference/ggbarstats.html

For more, also read the following vignette: https://indrajeetpatil.github.io/ggstatsplot/articles/web_only/ggbarstats.html

ggcoefstats()

The function ggcoefstats() generates dot-and-whisker plots for regression models. The tidy data frames are prepared using parameters::model_parameters(). Additionally, if available, the model summary indices are also extracted from performance::model_performance().

set.seed(123)

## model
mod <- stats::lm(formula = mpg ~ am * cyl, data = mtcars)

ggcoefstats(mod)

Defaults return

✅ inferential statistics
✅ estimate + CIs
✅ model summary (AIC and BIC)

Details about underlying functions used to create graphics and statistical tests carried out can be found in the function documentation: https://indrajeetpatil.github.io/ggstatsplot/reference/ggcoefstats.html

For more, also read the following vignette: https://indrajeetpatil.github.io/ggstatsplot/articles/web_only/ggcoefstats.html

Extracting expressions and data frames with statistical details

{ggstatsplot} also offers a convenience function to extract data frames with statistical details that are used to create expressions displayed in {ggstatsplot} plots.

set.seed(123)

p <- ggbetweenstats(mtcars, cyl, mpg)

# extracting expression present in the subtitle
extract_subtitle(p)
#> list(italic("F")["Welch"](2, 18.03) == "31.62", italic(p) == 
#>     "1.27e-06", widehat(omega["p"]^2) == "0.74", CI["95%"] ~ 
#>     "[" * "0.53", "1.00" * "]", italic("n")["obs"] == "32")

# extracting expression present in the caption
extract_caption(p)
#> list(log[e] * (BF["01"]) == "-14.92", widehat(italic(R^"2"))["Bayesian"]^"posterior" == 
#>     "0.71", CI["95%"]^HDI ~ "[" * "0.57", "0.79" * "]", italic("r")["Cauchy"]^"JZS" == 
#>     "0.71")

# a list of tibbles containing statistical analysis summaries
extract_stats(p)
#> $subtitle_data
#> # A tibble: 1 × 14
#>   statistic    df df.error    p.value
#>       <dbl> <dbl>    <dbl>      <dbl>
#> 1      31.6     2     18.0 0.00000127
#>   method                                                   effectsize estimate
#>   <chr>                                                    <chr>         <dbl>
#> 1 One-way analysis of means (not assuming equal variances) Omega2        0.744
#>   conf.level conf.low conf.high conf.method conf.distribution n.obs expression
#>        <dbl>    <dbl>     <dbl> <chr>       <chr>             <int> <list>    
#> 1       0.95    0.531         1 ncp         F                    32 <language>
#> 
#> $caption_data
#> # A tibble: 6 × 17
#>   term     pd prior.distribution prior.location prior.scale     bf10
#>   <chr> <dbl> <chr>                       <dbl>       <dbl>    <dbl>
#> 1 mu    1     cauchy                          0       0.707 3008850.
#> 2 cyl-4 1     cauchy                          0       0.707 3008850.
#> 3 cyl-6 0.780 cauchy                          0       0.707 3008850.
#> 4 cyl-8 1     cauchy                          0       0.707 3008850.
#> 5 sig2  1     cauchy                          0       0.707 3008850.
#> 6 g_cyl 1     cauchy                          0       0.707 3008850.
#>   method                          log_e_bf10 effectsize         estimate std.dev
#>   <chr>                                <dbl> <chr>                 <dbl>   <dbl>
#> 1 Bayes factors for linear models       14.9 Bayesian R-squared    0.714  0.0503
#> 2 Bayes factors for linear models       14.9 Bayesian R-squared    0.714  0.0503
#> 3 Bayes factors for linear models       14.9 Bayesian R-squared    0.714  0.0503
#> 4 Bayes factors for linear models       14.9 Bayesian R-squared    0.714  0.0503
#> 5 Bayes factors for linear models       14.9 Bayesian R-squared    0.714  0.0503
#> 6 Bayes factors for linear models       14.9 Bayesian R-squared    0.714  0.0503
#>   conf.level conf.low conf.high conf.method n.obs expression
#>        <dbl>    <dbl>     <dbl> <chr>       <int> <list>    
#> 1       0.95    0.574     0.788 HDI            32 <language>
#> 2       0.95    0.574     0.788 HDI            32 <language>
#> 3       0.95    0.574     0.788 HDI            32 <language>
#> 4       0.95    0.574     0.788 HDI            32 <language>
#> 5       0.95    0.574     0.788 HDI            32 <language>
#> 6       0.95    0.574     0.788 HDI            32 <language>
#> 
#> $pairwise_comparisons_data
#> # A tibble: 3 × 9
#>   group1 group2 statistic   p.value alternative distribution p.adjust.method
#>   <chr>  <chr>      <dbl>     <dbl> <chr>       <chr>        <chr>          
#> 1 4      6          -6.67 0.00110   two.sided   q            Holm           
#> 2 4      8         -10.7  0.0000140 two.sided   q            Holm           
#> 3 6      8          -7.48 0.000257  two.sided   q            Holm           
#>   test         expression
#>   <chr>        <list>    
#> 1 Games-Howell <language>
#> 2 Games-Howell <language>
#> 3 Games-Howell <language>
#> 
#> $descriptive_data
#> NULL
#> 
#> $one_sample_data
#> NULL
#> 
#> $tidy_data
#> NULL
#> 
#> $glance_data
#> NULL
#> 
#> attr(,"class")
#> [1] "ggstatsplot_stats" "list"

Note that all of this analysis is carried out by {statsExpressions} package: https://indrajeetpatil.github.io/statsExpressions/

Using {ggstatsplot} statistical details with custom plots

Sometimes you may not like the default plots produced by {ggstatsplot}. In such cases, you can use other custom plots (from {ggplot2} or other plotting packages) and still use {ggstatsplot} functions to display results from relevant statistical test.

For example, in the following chunk, we will create our own plot using {ggplot2} package, and use {ggstatsplot} function for extracting expression:

## loading the needed libraries
set.seed(123)
library(ggplot2)

## using `{ggstatsplot}` to get expression with statistical results
stats_results <- ggbetweenstats(morley, Expt, Speed) %>% extract_subtitle()

## creating a custom plot of our choosing
ggplot(morley, aes(x = as.factor(Expt), y = Speed)) +
  geom_boxplot() +
  labs(
    title = "Michelson-Morley experiments",
    subtitle = stats_results,
    x = "Speed of light",
    y = "Experiment number"
  )

Summary of benefits of using {ggstatsplot}

Misconceptions about {ggstatsplot}

This package is…

❌ an alternative to learning {ggplot2}
✅ (The better you know {ggplot2}, the more you can modify the defaults to your liking.)

❌ meant to be used in talks/presentations
✅ (Default plots can be too complicated for effectively communicating results in time-constrained presentation settings, e.g. conference talks.)

❌ the only game in town
✅ (GUI software alternatives: JASP and jamovi).

Extensions

In case you use the GUI software jamovi, you can install a module called jjstatsplot, which is a wrapper around {ggstatsplot}.

Contributing

I’m happy to receive bug reports, suggestions, questions, and (most of all) contributions to fix problems and add features. I personally prefer using the GitHub issues system over trying to reach out to me in other ways (personal e-mail, Twitter, etc.). Pull Requests for contributions are encouraged.

Here are some simple ways in which you can contribute (in the increasing order of commitment):

Please note that this project is released with a Contributor Code of Conduct. By participating in this project you agree to abide by its terms.