ggVennDiagram

ggVennDiagram’ enables fancy Venn plot with 2-7 sets and generates publication quality figure. It also support upset plot with unlimited number of sets from version 1.4.4.

Installation

You can install the released version of ggVennDiagram from CRAN with:

install.packages("ggVennDiagram")

And the development version from GitHub with:

# install.packages("devtools")
devtools::install_github("gaospecial/ggVennDiagram")

Citation

If you find ggVennDiagram is useful and used it in academic papers, you may cite this package as:

Gao, C.-H., Chen, C., Akyol, T., Dușa, A., Yu, G., Cao, B., and Cai, P. (2024). ggVennDiagram: intuitive Venn diagram software extended. iMeta 3, 69. doi: 10.1002/imt2.177.

Features

Notes

The ggVennDiagram Shiny app can be accessed at Shinyapps.io (https://bio-spring.shinyapps.io/ggVennDiagram), or ggVennDiagram::launch_app() in local machine.

The TBtools plugin can be accessed through its plugin store.

Example

ggVennDiagram maps the fill color of each region to quantity, allowing us to visually observe the differences between different parts.

library(ggVennDiagram)
genes <- paste("gene",1:1000,sep="")
set.seed(20231214)
x <- list(A=sample(genes,300),
          B=sample(genes,525),
          C=sample(genes,440),
          D=sample(genes,350))

ggVennDiagram return a ggplot object, the fill/edge colors can be further modified with ggplot functions.

library(ggplot2)
ggVennDiagram(x) + scale_fill_gradient(low="grey90",high = "red")


ggVennDiagram(x, set_color = c("blue","red","green","purple"))

ggVennDiagram support 2-7 dimension Venn plot. The generated figure is generally ready for publish. The main function ggVennDiagram() will check how many items in the first parameter and call corresponding function automatically.

The parameter category.names is set names. And the parameter label can label how many items are included in each parts.

ggVennDiagram(x,category.names = c("Stage 1","Stage 2","Stage 3", "Stage4"))


ggVennDiagram(x,category.names = c("Stage 1","Stage 2","Stage 3", "Stage4"), label = "none")

Set label_alpha = 0 to remove label background.

ggVennDiagram(x, label_alpha=0)

Showing intersection values

Note: you need to install the GitHub version to enable these functions.

We implemented the process_region_data() to get intersection values.

y <- list(
  A = sample(letters, 8),
  B = sample(letters, 8),
  C = sample(letters, 8),
  D = sample(letters, 8)
)

process_region_data(Venn(y))
#> # A tibble: 15 × 4
#>    id      name    item      count
#>    <chr>   <chr>   <list>    <int>
#>  1 1       A       <chr [3]>     3
#>  2 2       B       <chr [1]>     1
#>  3 3       C       <chr [3]>     3
#>  4 4       D       <chr [0]>     0
#>  5 1/2     A/B     <chr [0]>     0
#>  6 1/3     A/C     <chr [1]>     1
#>  7 1/4     A/D     <chr [2]>     2
#>  8 2/3     B/C     <chr [1]>     1
#>  9 2/4     B/D     <chr [3]>     3
#> 10 3/4     C/D     <chr [1]>     1
#> 11 1/2/3   A/B/C   <chr [1]>     1
#> 12 1/2/4   A/B/D   <chr [1]>     1
#> 13 1/3/4   A/C/D   <chr [0]>     0
#> 14 2/3/4   B/C/D   <chr [1]>     1
#> 15 1/2/3/4 A/B/C/D <chr [0]>     0

If only several items were included, intersections may also be viewed interactively by plotly method (if you have two many items, this is useless).

ggVennDiagram(y, show_intersect = TRUE)

In web browser or RStudio, you will get:

Customizing your plot

There are three components in a Venn plot: 1) the set labels; 2) the edge of sets; and 3) the filling regions and labels (optional) of each parts. We separately stored these data in a structured VennPlotData object, in which labels, edges and regions are stored as data frames.

In general, ggVennDiagram() plot a Venn in three steps:

Please check vignette("fully-customed", package = "ggVennDiagram") for more information.

Venn Diagram for more than four sets

If you have reviewed my codes, you may find it is easy to support Venn Diagram for more than four sets, as soon as you find a ideal parameter to generate more circles or ellipses in the plot. The key point is to let the generated ellipses have exactly one intersection for each combination.

Venn Diagram of up to seven sets

From v1.0, ggVennDiagram can plot up to seven dimension Venn plot. Please note that the shapes for this five sets diagram, as well as those for six and seven sets, are imported from the original package venn authored by Adrian Dușa.

However, Venn Diagram for more than four sets may be meaningless in some conditions, as some parts may be omitted in such ellipses. Therefore, it is only useful in specific conditions. For example, if the set intersection of all group are extremely large, you may use several ellipses to draw a “flower” to show that.

x <- list(A=sample(genes,300),
          B=sample(genes,525),
          C=sample(genes,440),
          D=sample(genes,350),
          E=sample(genes,200),
          F=sample(genes,150),
          G=sample(genes,100))

# two dimension Venn plot
ggVennDiagram(x[1:2],label = "none")

# three dimension Venn plot
ggVennDiagram(x[1:3],label = "none")

# four dimension Venn plot
ggVennDiagram(x[1:4],label = "none")

# five dimension Venn plot
ggVennDiagram(x[1:5],label = "none")

# six dimension Venn plot
ggVennDiagram(x[1:6],label = "none")

# seven dimension Venn plot
ggVennDiagram(x,label = "none")

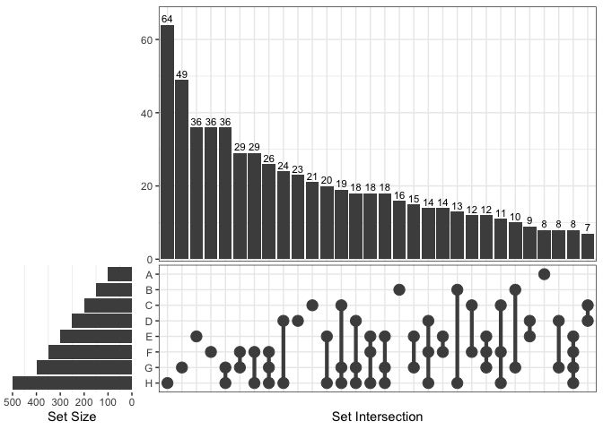
Native support of upset plot

From version 1.4.4, ggVennDiagram supports unlimited number of sets, as it can draw a plain upset plot automatically when number of sets is more than 7.

# add an extra member in list
x$H = sample(genes,500)
ggVennDiagram(x)
#> Warning in ggVennDiagram(x): Only support 2-7 dimension Venn diagram. Will give
#> a plain upset plot instead.
#> Warning: Removed 1 row containing missing values or values outside the scale range
#> (`geom_col()`).

Upset plot can also be used by setting force_upset = TRUE.

ggVennDiagram(x[1:4], force_upset = TRUE, order.set.by = "name", order.intersect.by = "none")

Since upset plot is consisted with upper panel and lower panel, and left panel and right panel, the appearance should be adjusted with different conditions. We provide two parameters, which are relative_height and relative_width to do this.

For example, if we want to give more space to lower panel, just change the relative_height from 3 (the default) to 2.

venn = Venn(x)
plot_upset(venn, nintersects = 30, relative_height = 2, relative_width = 0.3)

Reference

Adrian Dușa (2024) venn: Draw Venn Diagrams, R package version 1.12. https://CRAN.R-project.org/package=venn.