The dynamite
R
package provides an easy-to-use interface for Bayesian inference of
complex panel (time series) data comprising of multiple measurements per
multiple individuals measured in time via dynamic multivariate panel
models (DMPM). The main features distinguishing the package and the
underlying methodology from many other approaches are:
rstan
and cmdstanr
backends are supported, with both parallel chains and within-chain
parallelization.The dynamite
package is developed with the support of
the Research Council of Finland grant 331817 (PREDLIFE). For further
information on DMPMs and the dynamite
package, see the
related papers:
dynamite
: An R Package
for Dynamic Multivariate Panel Models. (arXiv preprint)You can install the most recent stable version of
dynamite
from CRAN or the
development version from R-universe by running one the
following lines:
install.packages("dynamite")
install.packages("dynamite", repos = "https://ropensci.r-universe.dev")
A single-channel model with time-invariant effect of z
,
time-varying effect of x
, lagged value of the response
variable y
and a group-specific random intercepts:
set.seed(1)
library("dynamite")
<- dynamite(
gaussian_example_fit obs(y ~ -1 + z + varying(~ x + lag(y)) + random(~1), family = "gaussian") +
splines(df = 20),
data = gaussian_example, time = "time", group = "id",
iter = 2000, chains = 2, cores = 2, refresh = 0
)
Summary of the model:
print(gaussian_example_fit)
#> Model:
#> Family Formula
#> y gaussian y ~ -1 + z + varying(~x + lag(y)) + random(~1)
#>
#> Correlated random effects added for response(s): y
#>
#> Data: gaussian_example (Number of observations: 1450)
#> Grouping variable: id (Number of groups: 50)
#> Time index variable: time (Number of time points: 30)
#>
#> NUTS sampler diagnostics:
#>
#> No divergences, saturated max treedepths or low E-BFMIs.
#>
#> Smallest bulk-ESS: 661 (sigma_nu_y_alpha)
#> Smallest tail-ESS: 1058 (sigma_nu_y_alpha)
#> Largest Rhat: 1.003 (sigma_y)
#>
#> Elapsed time (seconds):
#> warmup sample
#> chain:1 4.215 2.563
#> chain:2 4.118 2.592
#>
#> Summary statistics of the time- and group-invariant parameters:
#> # A tibble: 6 × 10
#> variable mean median sd mad q5 q95 rhat ess_bulk ess_tail
#> <chr> <dbl> <dbl> <dbl> <dbl> <dbl> <dbl> <dbl> <dbl> <dbl>
#> 1 beta_y_z 1.97 1.97 0.0116 0.0112 1.95 1.99 1.00 2815. 1434.
#> 2 sigma_nu_y… 0.0944 0.0933 0.0114 0.0107 0.0780 0.114 1.00 661. 1058.
#> 3 sigma_y 0.198 0.198 0.00373 0.00362 0.192 0.204 1.00 2580. 1254.
#> 4 tau_alpha_y 0.212 0.205 0.0483 0.0432 0.146 0.301 1.00 1731. 1606.
#> 5 tau_y_x 0.364 0.355 0.0740 0.0648 0.266 0.494 1.00 2812. 1504.
#> 6 tau_y_y_la… 0.107 0.105 0.0219 0.0213 0.0781 0.148 1.00 2387. 1682.
Posterior estimates of time-varying effects:
plot(gaussian_example_fit, types = c("alpha", "delta"), scales = "free")
And group-specific intercepts (for first 10 groups):
plot(gaussian_example_fit, types = "nu", groups = 1:10)
Traceplots and density plots for time-invariant parameters:
plot(gaussian_example_fit, plot_type = "trace", types = "beta")
Posterior predictive samples for the first 4 groups (using the samples based on the posterior distribution of the model parameters and observed data on the first time point):
library("ggplot2")
<- predict(gaussian_example_fit, n_draws = 100)
pred |>
pred ::filter(id < 5) |>
dplyrggplot(aes(time, y_new, group = .draw)) +
geom_line(alpha = 0.25) +
# observed values
geom_line(aes(y = y), colour = "tomato") +
facet_wrap(~id) +
theme_bw()
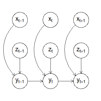
Visualizing the model structure as a DAG (a snapshot at time
t
):
plot(gaussian_example_fit, plot_type = "dag", show_covariates = TRUE)
For more examples, see the package vignettes and the blog post about dynamite.
dynamite
package uses Stan via rstan
and cmdstanr
(see also https://mc-stan.org), which is a probabilistic
programming language for general Bayesian modelling.brms
package also uses Stan, and can be used to fit various complex
multilevel models.tvReg
.
The tvem
package provides similar functionality for gaussian, binomial and
poisson responses with mgcv
backend.plm
contains various methods to estimate linear models for panel data, e.g.,
fixed effect models.lavaan
provides tools for structural equation modeling, and as such can be used
to model various panel data models as well.Contributions are very welcome, see CONTRIBUTING.md for general guidelines.